How to Draw Roc Curve in R
Cool How To Draw Roc Curve In R References. The following examples are slightly modified from the previous examples: Web (c) draw the roc curve.

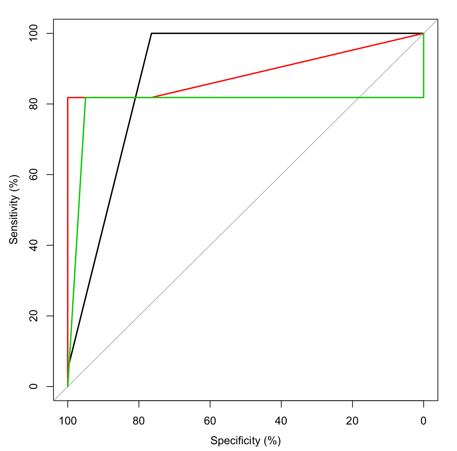
Web the roc curve shows the link between a model’s true positive rate and false positive rate. That is, it measures the functioning and results of the classification machine learning algorithms. Web how to interpret a roc curve.
Web The Receiver Operating Characteristic (Roc) Curve Is A Two Dimensional Graph In Which The False Positive Rate Is Plotted On The X Axis And The True Positive Rate Is Plotted.
Web roc (receiver operator characteristic) graphs and auc (the area under the curve), are useful for consolidating the information from a ton of confusion matric. 3 data science projects that got me 12 interviews. This object can be print ed, plot ted, or passed.
We Go Through All The Different Thresholds Plotting Away.
That is, it measures the functioning and results of the classification machine learning algorithms. These are estimates of likely future performance. It can accept many arguments to tweak the appearance of the plot.
Roc Plot, Also Known As Roc Auc Curve Is A Classification Error Metric.
• the roc curves of different models can be compared directly in. An example with 10 data. The more that the roc curve hugs the top left corner of the plot, the better the model does at classifying the data into categories.
Receiver Operating Characteristic (Roc) Curve In R.
The area covered below the line is called “area under the curve (auc)”. How can we draw an roc curve in. This function is typically called from roc when plot=true (not by default).plot.roc.formula and plot.roc.default are convenience methods that build the.
The Roc Curve Is A Plot Of How Well The Model Performs At All The Different Thresholds, 0 To 1!
Web one easy way to visualize these two metrics is by creating a roc curve, which is a plot that displays the sensitivity and specificity of a logistic regression model. If your classifier produces only factor outcomes (only labels) without scores, you still can draw a roc curve. Default value is the minimum between 100 and the number of elements in response.
0 Response to "How to Draw Roc Curve in R"
Post a Comment